![]() |
|
||
Anales de SAIPA - Sociedad Argentina para la Investigación de Productos Aromáticos
VIII CONGRESO NACIONAL DE RECURSOS NATURALES AROMÁTICOS Y MEDICINALES
Volumen XV - 1994 - pág 31 a 40.
RESUMEN
El objetivo de este trabajo es obtener aromáticas deshidratadas utilizando invernaderos - secaderos con energía solar.
Para determinar las curvas de secado teóricas se realizaron pruebas en túnel de aire en laboratorio. Posteriormente se realizó el secado en un prototipo de invernadero - secadero y se determinó el tiempo y temperatura de secado y radiación incidente para las especies utilizadas (lemon grass, romero, y albahaca). Para analizar la calidad del material obtenido se determinó la concentración y calidad del aceite esencial y aspecto externo de la muestra.
Los resultados de los análisis indican la óptima calidad del material obtenido, por lo tanto se concluye la viabilidad de la utilización de estos sistemas de invernaderos - secaderos para el secado de aromáticas.
The aim of this paper is to obtain dehydrated aromatic plants using drying nurseries with solar energy.
To determine the theorical curves of drying, several test in air tunnels in labs were carried out. Them, the dryin was done in a prototype of drying temperature were established as well as the incidence of radiation for the species used. (Lemon Grass, Romero, and Albahaca). To analyze the quality of the material obtained, the essential oil concentration and quality, and the external aspect of the sample were determined.
The results of the analyes show the maximun quality of the material obtained so, the conclusión is the viability in the use of these drying - nursery systems for the drying of aromatic plants.
INTRODUCCIÓN
Desde el año 1992 se están evaluando técnicas de secado de aromáticas a nivel de laboratorio y en un prototipo de invernadero - secadero construido en el INTA E.E.A. Catamarca, trabajando en forma conjunta con la Unidad del INENCO Catamarca - Fac. de Ciencias Agrarias de la Universidad Nacional de Catamarca.
La zona presenta altas temperaturas medias y máximas, gran luminosidad y clima seco (1) (2). La hipótesis de trabajo es que la energía del sol permite secar plantas aromáticas. El objetivo de este estudio es obtener aromáticas deshidratadas utilizando invernaderos secaderos con energía solar y calefacción auxiliar.
MATERIALES Y MÉTODOS
1.- Especies utilizadas:
1.1.- Cymbopogon citratus Stapf, "Lemon grass". También llamado pasto cedrón o pasto limón, es una planta perenne perteneciente a la familia de las gramíneas (3). El momento de cosecha fue con punta de hojas secas al final del verano, efectuándose un solo corte en el año 1993. La edad de las plantas en ese momento era de tres años y alcanzaban una altura de 1,30 m. El corte se hizo con machete a 15 cm de la base para favorecer el rebrote. Se midieron cuatro muestras al azar de 1 m2, se obtuvo el peso fresco, peso seco y con esto se extrapoló el peso verde y el peso seco por hectárea, (Cuadro Nº 1).
1.2.- Rosmarinus officinalis L., "Romero". Pertenece a la familia de las labiadas, es una planta arbustiva, perenne (3). La distancia de plantación fue 1 m x 1 m. Los cortes se realizaron en dos parcelas distintas en la primavera de 1993 y en otoño de 1994, en plantas de tres años de edad. En ambos casos los cortes se hicieron con tijeras a 30 cm de la base para favorecer el rebrote. Se midió el peso fresco, peso seco y peso seco despalillado. Luego se extrapoló a hectárea, (Cuadro N° 2).
1.3.- Ocimun basilicum L,, "Albahaca". Es una planta herbácea, anual que pertenece a la familia de las labiadas (3). Se realizaron dos siembras, una en la primavera de 1993 y otra en otoño de 1994. Se realizó siembra directa con la utilización de herbicidas (4) utilizando semilla de producción propia (5). Los cortes fueron al ras en plena floración. En 1993 se tomaron cuatro muestras de 1 m2, en 1994 se tomaron cuatro muestras de 2,8 m2. Se midió peso fresco, peso seco y se extrapoló a hectárea. (Cuadro N° 3 y 4).
2.- Proceso de secado
2.1.- Determinaciones en laboratorio
El dispositivo de secado en laboratorio permite la obtención de datos sobre la evolución del producto a secar, para una cantidad de hasta 15 kg. Las variables de interés son:
El equipo con el que se dispone para realizar las experiencias, Fig.l. consiste en un circuito de tuberías de circulación de aire cuya longitud se calculó teniendo en cuenta las exigencias de estandarización de la normas para mediciones del flujo de aire. La estructura fue construida con chapas galvanizadas aisladas del medio exterior con "AF/ARMAFLEX", norma DIN -102 KL B2 y de 50 mm de "Telgopor" (poliestireno expandido)

La estructura tubular guarda regularidad en todas sus partes salvo en unos de sus laterales, donde se sitúa una cámara de 54x40 cm, la misma se fijo a una altura de 1,5 m para facilitar la observación y su manuabilidad. Se la diseñó con una puerta que se pudiera abrir y cerrar con comodidad, con un visor de doble vidrio y aislada del exterior. En su interior se ubican tres bandejas construidas con tela plástica y enmarcadas con perfiles metálicos en las cuales se coloca el producto a secar. Se colocan además, un termómetro un higrómetro previamente calibrado para medir temperatura y humedad ambiente de secado respectivamente.
Para el sistema de calefacción se adoptó como flujo de calor máximo, la potencia entregada por seis velas de cuarzo que funcionan a pleno y que pueden ser apagadas toda vez que la temperatura en la cámara fuera mayor que un valor determinado para el secado.
En la parte inferior, se encuentra un ventilador tipo axial que es quien mueve la masa de aire caliente. El producto bajo condiciones de secado se pesa en una balanza de plato de lectura digital Mettler.
2.2.- Descripción del invernadero - secadero
El módulo utilizado para este ensayo está ubicado en la Estación Experimental Agropecuaria de INTA, Sumalao, Dpto. Valle Viejo y consta de:
El invernadero consiste en una estructura del tipo Armería simplificada con las siguientes características: 16 m de ancho, 21 m de largo, 3,5 m de altura máxima, 2 m de altura en los laterales y una superficie disponible de 336 m!. La estructura del invernadero se construyó en madera de eucalipto, utilizando plástico de larga duración térmica (L.D.T.) de 150 micrones como cubierta, con un su eje principal orientado en la dirección Este - Oeste, con una cara lateral en exposición completa hacia el Norte. En la Fig. 2. se muestra una vista general del sistema.

La idea, básicamente consiste, en acondicionar un sector del interior del invernadero para transformarlo en un túnel y adosarle los sistemas auxiliares de calentamientos de acuerdo con las necesidades térmicas del proceso de secado. El resto del espacio disponible se transforma en un colector térmico solar mediante la incorporación de una lámina de plástico negro extendida en el interior del mismo. El área efectiva de colección es 305 m2, Fig.2, sector A. Las cortinas laterales del invernadero han sido bajadas totalmente y enterradas a lo largo del perímetro del mismo para evitar la fuga o entrada de aire desde el exterior.
El túnel de secado ha sido construido con postes y travesanos de madera, cubiertos por plástico transparente tipo U.VT., ubicado bajo la cubierta del invernadero a lo largo de su eje principal. En su interior se han instalado dos rieles y al final del túnel se encuentran dos ventiladores eléctricos axiales montados sobre una estructura soporte móvil, que permite su desplazamiento en el momento que es necesario el paso de los carritos, Fig. 2, sector B.
En el extremo Este del invernadero se construyó, perpendicular al túnel, una cámara para i a concentración de la calefacción auxiliar. En su interior se instalaron dos hornos quemadores de leña construidos en chapa metálica, Fig.2, sector C. Los gases de combustión son canalizados a través de dos caños metálicos que están ubicados en el suelo del túnel de secado e intercambian calor con el aire exterior a ellos. La cámara dispone de tres registros que controlan el ingreso del aire exterior y del colector.
3.- Análisis de calidadPara evaluar la calidad de los materiales secados, (cuadro N° 5), se empleó la siguiente metodología:
RESULTADOS Y DISCUSIÓN
1.- Resultados del secado
1.1.- Resultados de laboratorio
Se realizó el secado de albahaca, romero y lemon grass, que fueron colocados sobre las randejas de cámara de secado se ha descripto anteriormente. La temperatura de bulbo seco que se obtuvo fue entre 40 y 50° C. El aire se puso en movimiento mediante un ventilador de -4 HP y la velocidad del mismo se mantuvo alrededor de 1,0 m/s.
Como procedimiento general, válido para estos productos, se cortan las plantas en ramas pequeñas en el caso de la albahaca y el romero, y en trozos en el caso del lemon grass, para una mejor ubicación en las bandejas.
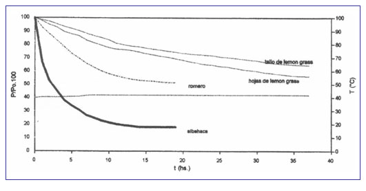
Con el fin de comparar las distintas velocidades de secado Fig. 3., se mantuvo constantes las condiciones de secado es decir, temperatura, y velocidad de aire.

Dado la particularidad de cada producto se observa que, en el caso de la albahaca es conveniente tener en cuenta la colocación del producto en las bandejas, debido a que a medida que se deshidrata las hojas se adosan una a otras dificultando el proceso. Mientras que con el lemon grass se destaca la diferente velocidad de secado entre las hojas y el tallo.
1.2.- Resultados en el invernadero secadero
Durante el periodo de ensayo se realizaron experiencias de secado de romero, albahaca, y lemon grass, aromáticas disponibles en la E.E.A. - Catamarca. En la Fig. 4. y 5., se muestran las variación de la temperatura del aire a la salida del colector, la temperatura ambiente, el flujo de calor antes del ingreso al túnel, con y sin calefacción auxiliar y el flujo de calor incidente por radiación solar, todos en función del tiempo durante el proceso de secado de romero y albahaca.
En el primer día de secado, Fig. 4., la radiación incidente no supera los 400 W/m2, y en valores promedios los 170 W/m2 y en consecuencia es necesario un aporte auxiliar para com-rensar la falta de energía incidente. En el segundo día, las condiciones climáticas mejoraron, aumentando la radiación incidente y restableciendo las condiciones de secado solo con el aporte solar.

En la Fig.5, se muestran las mismas variables, pero ambos días con calefacción auxiliar a los efectos de lograr temperaturas más altas, en el orden de los 50° C. El aporte auxiliar permite durante el segundo día compensar una caída de la radiación ocurrida entre las 11 y 14 hs. Sin embargo se advierte que la temperatura de salida ha aumentado por sobre el valor establecido, esto se debe a que el piso del invernadero después del primer día ha acumulado una cantidad importante de calor. Se advierte, que el balance total es similar en ambos días y el flujo total de calor disponible es aproximadamente igual.

2.- Rendimiento de las especies utilizadas
2.1.- Rendimiento de lemon grass (cuadro N° 1)
Los resultados obtenidos en un corte efectuado en el año 1993 arrojan altos rendimientos en material verde y seco.
PESO FRESCO |
2,3 |
5,0 |
2,5 |
5,4 |
3,8 |
38.000 |
PESO SECO |
0,8 |
1,6 |
0,9 |
1,8 |
1,3 |
12.700 |
2.2.- Rendimiento de romero (cuadro N° 2)
El peso fresco del corte realizado en el año 1993 fue un 56% superior al del año 1994 debido a un mejor estado vegetativo de las plantas. La relación entre peso fresco y peso seco es de49% para ambos años, mientras que la relación entre peso seco y peso dsespalillado es del 50%.
1993 |
113 |
270,7 |
23.955 |
134,8 |
11,929 |
5.964,5 |
1994 |
173 |
230,5 |
13.323 |
113,9 |
6.583 |
3.291,5 |
2.3.- Rendimiento de albahaca (cuadros N° 3 y N° 4)
Los rendimientos obtenidos tanto en peso fresco como en peso seco arrojan valores que corresponden con datos de bibliografía (3).
PESO FRESCO |
2,72 |
2,7 |
2,9 |
3,5 |
2,95 |
29.500 |
PESO SECO |
0,3 |
0,3 |
0,34 |
0,46 |
0,35 |
3.55 |
% MATERIA SECA |
11 |
11 |
12 |
13 |
12 |
- |
PESO FRESCO |
6,3 |
6,6 |
5,4 |
5,9 |
21,071 |
PESO SECO |
0,7 |
0,6 |
0,5 |
0,6 |
2.142 |
% MATERIA SECA |
11 |
10 |
9 |
10 |
- |
3.- Resultados de los análisis de calidad (cuadro N° 5)
Todas las especies estudiadas arrojan calidades entre regular y buena para el caso de esencias y de buena a muy buena en la evaluación subjetiva.
Lemon grass |
1,76 |
Buena |
4 |
Romero |
3,53 |
Buena |
5 |
Albahaca |
0,67 |
Regular |
3 |
CONCLUSIONES
Del análisis de los resultados obtenidos y calidad del material deshidratado en el invernadero - secadero se concluye la viabilidad de secado de aromáticas en este tipo de construcciones con la utilización de la energía solar en las condiciones del Valle de Catamarca y zonas afines.
Respecto al secado es importante estudiar la disposición del producto dentro del producto dentro del túnel, en razón de que aparecen distintos grados de complicación en la distribución del aire conforme el producto sea hojas o ramas y, la automatización y control del sistema de calefacción auxiliar.
AGRADECIMIENTO
Se agradece la valiosa colaboración de la Prof. Lidia A. De Quevedo para la realización del presente trabajo.
|
|
|