TRABAJOS CIENTIFICOS
Plantas medicinales, aromáticas y tintóreas.

Operación rescatemos la memoria.

   

 PRINCIPAL  
EXOTICAS
AUTOCTONAS
POSCOSECHA
 ORGANICO 
B.P.A. y B.P.M.
 HERBOCIENCIA 
 DOÑA DOLORES 


COMUNICACIONES
BIBLIOTECA
PUBLICACIONES
LEGISLACION


Anales de SAIPA - Sociedad Argentina para la Investigación de Productos Aromáticos
VI CONGRESO NACIONAL DE SOBRE RECURSOS NATURALES AROMÁTICOS Y MEDICINALES - San Juan (San Juan), Argentina - 1992
Volumen XIII - 1995 - pág 127 a 138.

ACEITES ESENCIALES DE ESPECIES ARBÓREAS AROMÁTICAS: APROVECHAMIENTO DEL MATERIAL NO MADERABLE. EXTRACTOS Y RESINOIDES.
JUAN ALBERTO RETAMAR Y COLABORADORES *,

* Instituto de Investigaciones de Productos Naturales, Análisis y Síntesis Orgánica - IPNAYS (CONICET - UNL - FIQ). Santiago del Estero 2829, CP 3000, Santa Fe.


SUMMARY

  1. Forestal remainders: leaves, flowers, fruits, branches, barks, trunks, roots and all residual products of the wood: shavings, clips, saw-dusts for the construction of boards planed and fashioned for many purposes, restored woods, blocks arid bricks, for economical houses construction.

  2. Fine chemistry products from essential oil constituents of the leaves of Pinus, Cupressus, Eucalyptus and oils from cedar, guaiac and sandal woods, clove oil Eugenia caryophyllata). Essential oils from shawings, leaves, fruits, roots. Obtention of extracts and resinoids from roots, barks, so as non volatile constituents from woods and shawings.

CONSIDERACIONES GENERALES

El presente estudio comprende principalmente el aprovechamiento de los residuos forestales, tales como hojas, flores, frutos, ramas, troncos, cortezas y todo subproducto residual de la madera: virutas, serrines o aserrines, que sirvan para la fabricación de tableros, maderas reconstituidas y bloques para la construcción de viviendas (tableros de serrín y virutas para aislamiento y planchas de construcción). Los tableros de viruta aglutinada se pueden obtener en pequeñas instalaciones anexas al taller de carpintería y aprovechando los propios desperdicios.

Además de tableros y planchas se pueden preparar otras formas moldeadas y ladrillos de construcción, viguetas, soporte para pisos de madera sobre suelo de hormigón y objetos análogos.

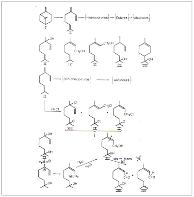
Por otra parte resultan muy importantes los productos de química fina a partir de constituyentes de aceites esenciales: Así tenemos la oleorresina de pino obtenida por el método de la resinación (ejemplo, miera de Pinus elliotti, contiene alrededor de 77% de colofonia y 23% de aceite esencial de trementina). El aceite esencial de trementina de esta especie, contiene una mezcla variable de α-pineno y de ⛚-pineno (50-55% y 35-40%, respectivamente) y otros constituyentes menores que no superan el 10% (3-careno, canfeno, limoneno).

α-pineno y β-pineno representan uno de los productos más económicos para la elaboración de aromas idénticos a los naturales mediante la aplicación de la química fina. En el estudio se incluye aceite de pino de las hojas (agujas), conos y flores. Otros aceites esenciales: eucaliptos y cipreses, así como los de la madera de guayaco (palo santo, Bulnesia sarmientoi), madera de cedro (muy importante), aceite de clavo (Eugenia caryophyllata), el aceite de la madera de sándalo-esencia de Amyris), etc.

Las especies de cipreses de zonas de Entre Ríos y Santa Fe, contienen una composición aproximada de aceites esenciales con 70% de hidrocarburos monoterpénicos y 30% de una mezcla de alcoholes terpénicos y sesquiterpenos, los cuales pueden entrar en la composición de perfumes tipo Chypre. Esta fracción sesquiterpénica puede resultar adecuada para la fijación de constituyentes volátiles de un determinado perfume. La modificación estructural de la fracción de hidrocarburos monoterpénicos (química fina), condujo a la formación de terpineoles, linalol, geraniol, mircenoly nerol, productos de alto valor agregado de uso en aromas y fragancias: perfumería, cosmética, jabones, desodorantes, detergentes, etc.

La medicina popular indica que el aceite y las hojas de ciprés actúan como antiespasmódico, antirreumático, antisudorífico, astrigente, restaurador nervioso. Aconsejable en los casos de incontinencia de la orina.

De modo similar las especies de Eucalyptus resultan de interés. Hemos estudiado los aceites esenciales de E. tereticornis o E. umbellata, E. cinerea, E. rostata o E. camaldulensis, E. moluccana, E. hemiphloia, E. citriodora, E. globulus, E. saligna grandis, E. viminalis. Tenemos estudiadas y publicadas sus composiciones químicas y utilidades, así como el desarrollo de la química fina aplicada a sus constituyentes más importantes.


FIGURAS

c-biblio013-12-a (94K)

c-biblio013-12-b (85K)

c-biblio013-12-c (90K)

c-biblio013-12-d (63K)

c-biblio013-12-e (86K)

c-biblio013-12-f (67K)

c-biblio013-12-g (55K)


En el grupo de los sesquiterpenos hay ejemplos interesantes de estructuras químicas peculiares. Así, el aceite esencial de madera de guayaco contiene el alcohol sesquiterpénico guayol como uno de sus componentes básicos. El acetato correspondiente, el acetato de guayilo, puede ser producido fácilmente y es una sustancia odorífera económica de carácter amaderado.
c-biblio013-12-h (16K)

EL hidrocarburo sesquiterpénico cariofileno es un producto secundario favorable económicamente, de la destilación de la esencia de clavo, la cual conduce a eugenol y a cariofileno. Este último también aparece en las fracciones de alto punto de ebullición de ciertas esencias de trementina. La epoxidación selectiva del cariofileno tiene lugar en el doble enlace trisustituido. El epóxido resultante es una sustancia odorífera natural-idéntica de tipo amaderado-especiado. La transposición del epóxido utilizando isopropóxido de aluminio conduce a. la mefecla de los respectivos alcoholes alilicos. Estos alcoholes cariol ilénicos son igualmente natural-idénticos y tienen un olor amaderado-persistente.En el grupo de los sesquiterpenos hay ejemplos interesantes de estructuras químicas peculiares.

c-biblio013-12-i (23K)

El aceite de la madera de cedro, sus componentes y derivados son de gran importancia industrial. Este aceite puede ser separado por destilación en una fracción de cedreno y una fracción de cedrol. La fracción sesquiterpénica no solo contiene cedreno, sino también tuyopseno y otros sesquiterpenos. La acilación de Friedel-Krafts de la fracción cedrénica conduce a una mezcla de acetilcedreno y sesquiterpenos acetilados, entre estos también un producto de transposición del tuyopsenno. Un producto secundarte de esta reacción es una α-cedreno muy limpio. La fracción de alcohol sesquiterpenico consta básicamente de α-cedrol, que puede ser obtenido por cristalización con una gran pureza. El α-cedrol tiene un carácter olfativo amaderado, agradable y persistente, aunque no muy fuerte. El α-cedrilmetileter, accesible a partir del cedrol, tiene una fuerza odorífera mayor que el cedrol o que el acetato de cedrilo, accesible por esterifícación de este último.

c-biblio013-12-j (28K)


Por epoxidacion del cedreno se puede conseguir un producto olfativamente muy interesante. El epoxicedrano resultante en esta operación tiene un aroma amaderado-especiado. La epoxidacion de una mezcla de cedreno-tuyopseno y posterior apertura del ciclo conduce a una mezcla de cedranona y tuyosanona.
c-biblio013-12-k (35K)


La esencia de madera de sándalo, llamada también esencia de Amyiris es una compleja mezcla de sustanci&s.; Uno de los productos principales que contiene es el (+) valerianol que puede ser aislado por destilación. Por perdida de agua se obtiene (+) valenceno, cuya oxidacion conduce a (+) nootkatona. La nootkatona es un aroma importante y costoso con un carácter típico de pomelo. Es asimismo un componente secundario de la esencia de pomelo. La nootkatona es un ejemplo para una síntesis en varias etapas que llevamos en estudio. Puede también resultar de interés la desterpenación del aceite de pomelo, aprovechando la fracción oxigenada que contiene nootkatona. El (+) limoneno, que representa alrededor del 95 %, podría ser convertido en limonenoles y/o en compuestos cetónieos: carvona, isopiperitenona y piperitenona, mentona y mentoles.
c-biblio013-12-l (56K)



   
Google