TRABAJOS CIENTIFICOS
Plantas medicinales, aromáticas y tintóreas.

Operación rescatemos la memoria.

   

 PRINCIPAL  
EXOTICAS
AUTOCTONAS
POSCOSECHA
 ORGANICO 
B.P.A. y B.P.M.
 HERBOCIENCIA 
 DOÑA DOLORES 


COMUNICACIONES
BIBLIOTECA
PUBLICACIONES
LEGISLACION


Anales de SAIPA - Sociedad Argentina para la Investigación de Productos Aromáticos
V JORNADAS NACIONALES DE ACTUALIZACIÓN SOBRE RECURSOS NATURALES AROMÁTICOS Y MEDICINALES - San Carlos de Bariloche (Río Negro), Argentina - 1991
Volumen XII - 1994 - pág 233 a 242.

ALTERACIONES DE LA RELACIÓN CÍTRICO/ ISOCITRICO EN JUGOS DE LIMÓN POR EFECTO DE LA CONCENTRACIÓN
R. A. Marígliano, M. B. MartíKlyver y C. A. N. Catalán *

* Cátedra de Química Analítica, Facultad de Bioquímica, Química y Farmacia, Universidad Nacional de Tucumán, Ayacucho 491, S.M. de Tucumán; S.A. San Miguel, Dpto. Industrial, Lavalle 4001, S.M. de Tucumán 4000.


INTRODUCCIÓN

La relación entre los ácidos cítricos y D-isocítrico es uno de los parámetros empleados para detectar adulteraciones en jugos concentrados de limón causados por el añadido de ácido cítrico comercial. En general los países consumidores toman el rango 100-210 como valor de referencia para la relación cítrico/D-isocítrico (C/I) mientras que otros compradores aceptan el ámbito de 160-250 para dicha relación.

En este trabajo liemos realizado la determinación enzimática de ácidos cítrico y D-isocítrico (ver anexo) en más de 150 muestras de jugo de limón provenientes de lotes de producción obtenidos a lo largo de 1991 y que en conjunto representan el 8% de la producción total de jugo concentrado de limón (JCL) de la provincia de Tucumán que alcanza a unas 21.000 t calidad 400 GPL. El objetivo primario fue obtener los valores representativos de la relación C/I que caracterizan nuestros jugos y conocer las variaciones que se producen a lo largo de la estación que comienza en enero-febrero y culmina generalmente en septiembre.

En los últimos años se observa una tendencia de los compradores a requerir jugos de mayor concentración por razones de economía en flete y transporte. Por esto se decidió estudiar paralelamente si en el proceso de concentración se producían variaciones en la relación C/I debido a fenómenos de la cIonización, deshidratación, esterificación o de cualquier otro tipo.

RESULTADOS

En la Figura 1 se muestran las variaciones en el contenido de los ácidos cítrico y D-isocítrico en lotes de JCL calidad 400 gpl producidos a lo largo de la zafra. Puede observarse que la fruta madura muestra un ligero aumento en el contenido de ácido cítrico.

Por el contrario, el ácido isocítrico muestra una disminución clara y sostenida a medida que avanza la maduración con el consecuente efecto sobre la relación C/I. Por esta causa los jugos producidos al finalizar la zafra presentan valores C/I próximos al límite superior de 250 y eventualmente pueden superarlo como se muestra en la Figura 2.

En la Figuras 3 y 4 se muestran las determinaciones enzimáticas de cítrico y D-isocítrico en una misma muestra de jugo de limón que fue concentrada gradualmente desde jugo natural a jugo de 200, 300, 400 y 500 gpl. Puede observarse que los puntos correspondientes al ácido cítrico se ajustan bien a una recta dentro del error experimental. Lo mismo sucede para el ácido D-isocítrico hasta jugo de calidad 400 gpl. Al pasar de 400 a 500 gpl se observa una disminución de la pendiente de crecimiento que no puede ser atribuida a errores experimentales pues se repitió varias veces con igual resultado.

En la literatura se menciona que el ácido D-isocítrico puede lactonizarse por esterificación intramolecular de los grupos carboxilo e hidroxilo en la misma molécula La lactona del ácido isocítrico no es detectada enzimáticamente. Para establecer si la disminución observada podía ser atribuida a una lactonización, se ha realizado la hidrólisis alcalina de las muestras previa a la determinación enzimática. Los resultados fueron prácticamente idénticos a los obtenidos sobre las mismas muestras sin tratamiento.

CONCLUSIONES

Hemos descartado que la disminución del crecimiento en el contenido de ácido isocítrico al pasar de jugo 400/gpl a jugo 500/gpl pueda ser debido a la lactonización o esterificación por efecto de la concentración y/o calentamiento necesarios para la evaporación de agua (Figura 5). Creemos que una posibilidad cierta sería la deshidratación del ácido isocítrico a ácido aconítico. Actualmente estamos trabajando para verificar esta hipótesis (Figura 5).

BIBLIOGRAFÍA

  1. Lang, B., Dtsch. Lebensmittel-Rdsch. 68,176 (1972).
  2. Bergner-Lang, B., Dtsch. Lebensmittel-Rdsch. 70,431 (1974).
  3. --------- 715348 (1975).
  4. Siebert, F. (1974) Methoden der Enzymatischen Analyse (Bergmeyer, H.U., Hrsg.) 3. Aufl., Bd. 2, S. 1616-1619, Verlag Chemie, Weinheim, and (1974) in Methods of Enzimatic Analysis (Bergmeyer, H.U., ed.) 2nd. ed., vol. 3, pp. 1570-1573, Verlag Chemie, Weinheim, Academic Press, Inc. New York and London.
  5. Norme Frau9aise Homologuee, Jus de Fruits et Jus de Legumes, Détermination de la Teneur en Acides Carboxyliques (L-malique, tartique, et isocitrique) NF V 76-104 (Oktober 1980).
  6. Wallrauch, S. & Greiner, G. (1977) Bestimmung der D-Isocitronensáure in Fruchtsaften und alkoholfreien Erfilschungsgetránken, Flüssiges Obst 44, 241-245.


ANEXO

FUNDAMENTOS DE LA DETERMINACIÓN ENZIMATICA DE ACIDO CÍTRICO Y ACIDO D-ISOCITRICO

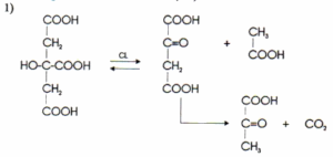
  1. Acido Cítrico

    El ácido cítrico es convertido en oxalacetato y acetato en la reacción catalizada por la enzima citrato-liasa (CL):

    c-biblio012-24-a (35K)


    El oxalacetato y su producto de descarboxilación, el piruvato, son reducidos a L-malato y L-lactato respectivamente por el nicotinamida-adenina dinucleótido reducido (NADH), en reacciones catalizadas por las enzimas malato deshidrogenasa (MDH) y lactato deshidrogenasa (LDH):

    c-biblio012-24-b (14K)


    c-biblio012-24-c (12K)


    Las cantidades de NADH oxidado en las reacciones 2) y 3) son estequiométricas con la cantidad de citrato. El NADH es determinado midiendo su absorbancia a 340 nm.

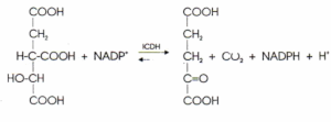
  2. Acido D-isocítrico

    El ácido D-isocítrico es descarboxilado por fosfato de nicotinamida-adenina-dinucleótido (NADP), en reacción catalizada por la enzima isocítrico-deshidrogenasa (ICDH).

    c-biblio012-24-d (13K)


    La cantidad de NADPH formada en la reacción es estequiométrica con la cantidad de D-isocítrico presente. El NADPH es determinado midiendo su absorbancia a 340 nía



FIGURAS

c-biblio012-24-e (74K)


c-biblio012-24-f (82K)


c-biblio012-24-g (71K)


c-biblio012-24-h (193K)


c-biblio012-24-i (40K)



   
Google