TRABAJOS CIENTIFICOS
Plantas medicinales, aromáticas y tintóreas.

Operación rescatemos la memoria.

   

 PRINCIPAL  
EXOTICAS
AUTOCTONAS
POSCOSECHA
 ORGANICO 
B.P.A. y B.P.M.
 HERBOCIENCIA 
 DOÑA DOLORES 


COMUNICACIONES
BIBLIOTECA
PUBLICACIONES
LEGISLACION


Anales de SAIPA - Sociedad Argentina para la Investigación de Productos Aromáticos
V JORNADAS NACIONALES DE ACTUALIZACIÓN SOBRE RECURSOS NATURALES AROMÁTICOS Y MEDICINALES - San Carlos de Bariloche (Río Negro), Argentina - 1991
Volumen XII - 1994 - pág 143 a 151.

ESTUDIOS COMPARATIVOS DE LA COMPOSICIÓN DEL ACEITE ESENCIAL DE TREMENTINA OBTENIDOS A PARTIR DE LAS MIERAS DE DEFERENTES ESPECIES DE Pinus DE LA ZONA NOROESTE DE LA PROVINCIA DE CHUBUT
Vilma T, Balzarettiy Viviana E. Nicotra *

* Area de Química Orgánica, Facultad de Ciencias Naturales, Universidad Nacional de la Patagonia S.J. Basco

RESUMEN

Se procedió al aislamiento del aceite esencial de trementina por destilación por arrastre con vapor de las mieras de Pinus silvestrís, Pinus radiata, Pinus ponderosa y Pinus murrayana. Se determinó el rendimiento de las esencias, constantes físicas e identificación de los componentes mayorítaríos empleado CG y se dilucidó el componente presente en mayor proporción en la esencia obtenida del Pinus murrayana con el empleo de métodos espectroscópicos.

SUMMARY

The essential trementina oil was obtained by steam destülation frorn resins which beloaged lo Pinus silvestrís, Pinus radiata, Pinus ponderosa and Pinus murrayana. It was determinated the yielcl of the difíerent oils and tlieir physic constants, major componeuts were identified by GC, and it was elucidated the compound which existed in the biggest proportion in the oil obtained from Pinus murrayana by spectroscopic methods.

INTRODUCCIÓN

Las especies en estudio están presentes en la región de los Bosques Andino Patagónicos.

Las plantaciones de pinos en nuestro país, principalmente en el nordeste argentino, están destinadas en su mayor parte a la producción de madera y pasta celulósica. Hace veinte años aproximadamente en la Argentina se comenzó a extraer la resina del pino para la obtención de colofonia y trementina. La trementina obtenida de pinos de la zona antes mencionada se valora por su contenido de alfa y beta pineno, sus componentes mayoritarios y valiosos por su uso para la preparación de aceite de pino, acetato de isobornilo, hidrato de terpina, terpineol, acetato de terpinilo, resina politerpénica, etc., todos compuestos destinados a la industria de desinfectantes, perfumes, solventes industriales, adhesivos y pinturas. Hemos comprobado que la trementina obtenida de dos de los pinos estudiados de la zona cordillerana son ricos en otros componentes. Tal es el caso de la esencia del Pinus ponderosa, enriquecido en beta pineno y un componente aún no identificado. La esencia obtenida del Pinus murrayana, en cambio, tiene un altísimo porcentaje, cerca del 82% de beta felandreno.

OBJETIVOS

MATERIALES Y MÉTODOS

Las muestras fueron tomadas de las Estaciones Forestales del IFONA: Estación Forestal Trevelin -Chubut-, y Estación Forestal General San Martín -Las Golondrinas- Río Negro, en febrero de 1990.

El aislamiento de las resinas fue realizado por el Ingeniero Agrónomo Pedro Esteban Guerra (1), empleando el método de pica de corteza o método americano con aplicación de estimulante.

La extracción de las esencias, para obtener el rendimiento, se realizó por cohobación. En cada caso se emplearon 10 gramos de resina, y se extrajeron con 250 ml de agua por un lapso de 90 minutos.

La determinación de la densidad e índice de refracción se llevó a cabo de acuerdo a las indicaciones dadas por la Farmacopea Nacional Argentina (2). Para realizar el estudio de composición de las esencias, la extracción seefectuó por destilación por arrastre por vapor para evitar posibles alteraciones por el calor al que son sometidas las muestras en la cohobación.

El análisis de los aceites se efectuó por cromatografía gaseosa. Se trabajó con un cromatógrafo de gases Konik KNK 3000 HRGC. Se utilizaron dos columnas, una cross-linked Methyl Silicone de 50 m de longitud y 0,2 mm de diámetro y una columna de vidrio AT-1000-Chromosorb B W-AW 80/100 de 1,5 m de longitud y 2 mm de diámetro. En ambos casos se trabajó con temperatura programada. En el primer caso entre 60° y 100° C, y en el segundo caso entre 75° y 120° C.

La identificación de los componentes se realizó usando testigos y corroborando con datos bibliográficos. Los porcentajes de cada componente se obtuvieron por integración del área de los picos del cromatograma en relación al área total.

En el estudio del componente mayoritario de la esencia del Pinus murrayana se realizaron mediciones espectroscópicas tales como RMN- H1 en un Brucker WP 80 (4), un CG-MS empleando un Shimadzu QP- 1000 de impacto electrónico de 70 eV (5) y un UV Hewlett Packard 8452 A (6).


DATOS

CUADRO N° 1 - Rendimiento, densidad e índice de refracción d elas esencias del Pinus silvestris, P. radiata, P. ponderosa y P. murruyana.

Especie estudiada

Rendimiento de esencia (ml por 10 g de resina)

Densidad (D20°)

Indice de refracción (nD20°)

Pinus silvestris

1.1

0.8714

1.468

Pinus radiata

1.2

0.8704

1.474

Pinus ponderosa

0.8

0.8619

1.477

Pinus murruyana

1.0

0.8631

1.484




CUADRO N° 2 - Porcentajes de los componentes más importantes de las esencias obtenidas.

Especie estudiada

alfa pineno

beta pineno

canfeno

beta felandreno

terpinoleno

no identificados

Pinus silvestris

99.00

0.56

0.44

---

---

---

Pinus radiata

30.00

69.77

0.23

---

---

---

Pinus ponderosa

4.56

41.59

---

---

1.00

52.85

Pinus murruyana

2.64

7.15

0.13

81.62

3.34

5.12




Registro de los cromatogramas de las esencias de los cuatro Pinus en estudio.

c-biblio012-15-d (43K)


c-biblio012-15-e (39K)


En el caso de la esencia del Pinus ponderosa hay un 52,85 % de componentes no identificados, de los cuales 42% corresponden a un componente que se sospecha se trata de mirceno, 3 careno o una mezcla de ambos.

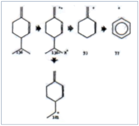
En la determinación de la composición de la esencia del Pinus murrayana concluímos en que la estructura que representa el 81,62% es beta felandreno. Esta afirmación se fundamenta en los resultados obtenidos en el espectro de RMN-H1 (fig.l), cuyos picos característicos son: 8 0,864 (3H d) y 8 0,96 (3H d) correspondientes a los protones del C 9 y 10 respectivamente, 8 4,74 (2H s) atribuida a los protones del C 7, 8 5,73 (1H dd) y 8 6,15 (1H dd) correspondientes a los protones de los C 1 y 2 respectivamente, 8 1,62 de escasa resolución corresponde al protón del C 8, que al ser irradiado simplifica la señal de los metilos a los cuales desdobla, 8 2,36 correspondiente al protón del C 6 también simplificada por la irradiación del protón del C 8 vecino. Las señales que corresponden a los protones de los C 4 y 5 se presentan confusas en 8 entre 1,2 y 2,5.

El otro ensayo espectroscópico aplicado fue el CG-MS, la degradación del pico de interés arroja los siguientes valores m/z (rel. int. %): 136(69), 121(7), 107(4,3), 94(16,5), 93(100), 92(9,9), 91(4), 80(12,4), 79(6,7). Para estos resultados proponemos el esquema de degradación de la (fig-2).

Respecto al espectro ultravioleta se comprobó que el compuesto presenta dos dobles enlaces conjugados por la aparición de una banda de absorción a una λ de 234 nm. (fig.3).

Espectro de RMN-H1 correspondiente al beta felandreno.

c-biblio012-15-a (73K)


Esquema de degradación del beta felandreno

c-biblio012-15-b (27K)


Espectro UV del beta felandreno

c-biblio012-15-c (21K)


DISCUSIÓN Y RESULTADOS

Del estudio realizado es inusual los componentes que se encuentran en mayor proporción en las esencias obtenidas a partir de las resinas del Pinus ponderosa y Pínus murrayana.

En el primer caso hay un 42% de un componente cuya identidad no está confirmada. Las cromatografías realizadas con ambas columnas acusan que se trata de un compuesto que podría ser mirceno, 3 careno, o una mezcla de los dos, puesto que coincide con datos de tiempos de retención tomados de bibliografía.

En el caso de la esencia del Pinus murrayana, el 81,62% corresponde a beta felandreno de acuerdo a todo lo desarrollado anteriormente.

REFERENCIAS

  1. Agradecemos la colaboración del Ing. Agr. Pedro Esteban Guerra, Técnico del Centro de Investigaciones Forestales - Área Ciencias Naturales- U.N. de la Patagonia, quien tomó las muestras estudiadas.

  2. Farmacopea Nacional Argentina. Sexta edición (1978). Páginas 1075 y 1135.

  3. Agradecernos la colaboración del Doctor Juan Alberto Retamar quien nos facilitó los testigos de beta pineno, canfeno y limoneno.

  4. Agradecemos la gentileza del Dr. Manuel González Sierra quien efectuó la medición de RMN-H1.

  5. Agradecemos también la participación del Dr. Días por el trabajo de CG-MS.

  6. Agradecemos al Dr. Norman Andino García quien nos facilitó el equipo UV.

REFERENCIAS BIBLIOGRÁFICAS

  1. S. FLOREAN!, J. RETAMAR, E. GROS. Especies aromáticas. Essenze Derivati Agrumari, 51, n°l, 10 (1981).
  2. --------- , Terpenoids of Cupressus. Anales de la Asociación Química Argentina, 70, 663 (1982).
  3. E. RISCALA, J. REMATAR, H. JULIANI. Aceite esencial de trementina a partir de mieras de Pinus eltiottü. Essenze Derivati Agrumari. Vol. XLXI, n°2, 176-180 (1976).


   
Google