TRABAJOS CIENTIFICOS
Plantas medicinales, aromáticas y tintóreas.

Operación rescatemos la memoria.

   

 PRINCIPAL  
EXOTICAS
AUTOCTONAS
POSCOSECHA
 ORGANICO 
B.P.A. y B.P.M.
 HERBOCIENCIA 
 DOÑA DOLORES 


COMUNICACIONES
BIBLIOTECA
PUBLICACIONES
LEGISLACION


Anales de SAIPA - Sociedad Argentina para la Investigación de Productos Aromáticos
V JORNADAS NACIONALES DE ACTUALIZACIÓN SOBRE RECURSOS NATURALES AROMÁTICOS Y MEDICINALES - San Carlos de Bariloche (Río Negro), Argentina - 1991
Volumen XII - 1994 - pág 101 a 111.

CARACTERÍSTICAS DEL ACEITE ESENCIAL DE LIMÓN PRODUCIDO EN TUCUMAN
M. B. Martí Klyver, * A. A. Delfíni ** y C. A. N. Catalán ***

* S.A. San Miguel, Departamento Industrial, Lavalle 4001, CP 4000 S. M. de Tucumán.
** Estación Experimental Agroindustrial Obispo Colambres (EEAOC), Av. William Cross 3050 ECO, CP 4000 Tucumán.
*** Instituto de Química Orgánica, Facultad de Bioquímica, Química y Farmacia, Universidad Nacional de Tucumán, Ayacucho 491, CP 4000 S.M. de Tucumán.

El aceite esencial es el producto más apreciado de la industrialización del limón. En el año 1991 la cantidad de fruta procesada en la provincia de Tucumán alcanzó las 345.000 toneladas con una producción estimada de 1.350 toneladas de aceite esencial de limón (AEL.). Estos valores ubican a nuestro país y en particular a la provincia de Tucumán en un lugar de privilegio en el concierto mundial como exportador de este insumo.

Como consecuencia lógica se han venido desarrollando en forma continuada estudios e investigaciones dirigidas a la selección de cultivares y variedades de limoneros que se adapten mejor a las características climáticas y edáficas de nuestra región. Es por ello que los rendimientos de fruta por hectárea se han mantenido en continuo ascenso no solo por lo expuesto sino también por mejores prácticas culturales, fertilización, etc.

Un par de décadas atrás la variedad de limoneros .predominante era el Génova cv que había mostrado los mejores rendimientos de aceite en comparación con otros cultivos y clones [1] aunque posteriormente las multiplicaciones se realizaron con Lisboa Frost nuc., Eureka Frost nuc. y Génova EEAT nuc. por sus mejores rendimientos culturales y calidad de fruta para consumo fresco [2].

Sin embargo, el rendimiento en aceite esencial no es el único parámetro a tenerse en cuenta. De fundamental importancia es también la calidad del aceite producido que viene determinada fundamentalmente por el contenido de compuestos carbonílicos (expresados como citral) y de esteres.

En el presente trabajo se analizó por cromatografía gaseosa capilar el contenido de aldehidos (octanal, nonanal, decanal, citronelal, neral y geranial) y de ésteres (acetatos de citronelilo, nerilo y geranilo) de AEL y su variación a medida que avanza la estación.

Se analizaron también los aceites esenciales obtenidos por el proceso de raspado de fruta proveniente de diferentes variedades y cultivares con el objeto de seleccionar aquellas que permitan continuar el mejoramiento de la calidad.

El equipo empleado fue un cromatógrafo gaseoso Hewlett Packard 5890 Series n equipado con un detector de llama y columna capilar HP-5 (Crosslinked 5% Ph Me Silicone) de 25 m x 0,32 mm x 1,05 μm film thickness. Gas portador helio a 1,0 ml/min; makeup N2 35 ml/min. Temperatura inicial 60° C ( 7 min); temp. final 200° C (5 min) a 4° C/min. Los porcentajes fueron tomados directamente del listado suministrado por el registrador-integrador del equipo.

En la Tabla 1 se presentan los valores para los aldehidos y esteres en muestras de aceite proveniente de cuatro fábricas diferentes de la provincia de Tucumán obtenidas en distintos meses a lo largo de la estación.

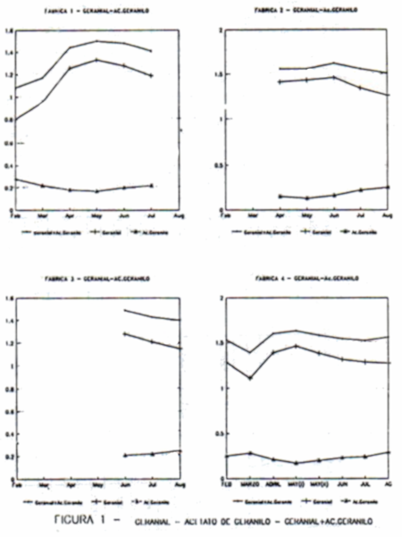
En la Figura 1 se muestra las variaciones a lo largo de la zafra del contenido de geranial, acetato de geranilo y de la suma geranial + acetato de geranilo para las cuatro fábricas arriba mencionadas. Del mismo modo en la Figura 2 están graficadas las variaciones de neral, acetato de nerilo y su suma.

En la Figura 3 se gráfica la relación acetato nerilo/acetato geranilo y en la Figura 4 la relación geranial/neral.

En la Figura 1 se observa que el máximo contenido de geranial se produce en los meses de abril-mayo-junio coincidente con el período de maduración de la fruta mientras que el contenido de acetato de geranilo muestra una ligera disminución durante el mismo período. Lo mismo se observa para el comportamiento del neral y acetato de nerilo como se ve en la Figura 2.

La relación acetato de nerilo/acetato de geranilo muestra una leve tendencia a disminuir a medida que avanza la estación. En las 44 muestras analizadas esta relación estuvo comprendida entre 1.65 y 2.75 como se muestra en las gráficas de la Figura 3.

De una constancia notable fue la relación geranial/neral como se ve en las gráficas de la Figura 4. En las 44 muestras analizadas procedentes de diferentes fábricas y producidas entre enero y setiembre esta relación estuvo comprendida entre el estrecho margen de 1.58 a 1.76. Este parámetro podría emplearse como un criterio para determinar la genuinidad del AEL.

Finalmente se estudiaron las características del AEL de limonero (Citrus limón (L.) Burman). La fruta fue cosechada en el mes de Mayo y el aceite esencial de la cascara fue extraído en frío en la planta piloto de la Estación Experimental con una Pelatrice Speciale. El agua de arrastre de la esencia fue recirculada y filtrada y la separación del aceite se realizó en una centrífuga Veronesi. El aceite resultante se empleó para los análisis físico-químicos y cromatográficos. El rendimiento de aceite se obtuvo en el laboratorio por arrastre con vapor.

Las siguientes variedades y cultivares fueron estudiadas: Eureka Cooka, Eureka Alien, Eureka Corona, Eureka Seed, Bears, Monachelo, Lisboa Limoneira 8-A, Santa Teresa, Genova (5 cultivares), Rigoni (4 cultivares), Lisboa Lupe, Lisboa Dr. Strong y Eureka UCLA. Los mejores resultados en calidad de aceite fueron obtenidos de las variedades Limoneira 8-A y Santa Teresa que mostraron un contenido de "citral" (método de la hidroxilamina) de 4.9% y 6.3% respectivamente. El análisis cromatografleo de estos aceites mostró la siguiente composición:

CONCLUSIONES

Los resultados sobre 44 muestras de AEL de toda la provincia de Tucumán indican que la mejor calidad se obtiene de fruta cosechada en el trimestre abril-junio coincidente con la maduración. En este período el contenido de compuestos carbonílicos y de esteres alcanza el máximo. La calidad de los aceites producidos en los meses febrero-marzo y julio-agosto también es buena, puesto que la disminución en el porcentaje de compuestos oxigenados es relativamente pequeña en comparación con los valores del período central.

REFERENCIAS

  1. Jones, W.W. and Embleton. T.W. 1964. California. Citrograph 49 ( 7 ): 267-276.
  2. Foguet, J.L.; Delfini, A.A. y Vinciguerra, H.F. 1987. Rev. Ind. y Agrícola de Tucumán 64 (2): 55-63.



TABLAS Y FIGURAS


Tabla 1 - MUESTRAS

1991

ALDEHIDOS

ESTERES (Acetatos de)

Fábrica

Mes

Ald C-8

Ald C-9

Citronelal

Ald C-10

Neral

Geranial

Tot Ald

Citronelilo

Nerilo

Geranilo

Tot Acet

Fábrica 1

Febrero

0.03

0.11

0.07

0.03

0.47

0.80

1.51

0.02

0.62

0.28

0.92

"

Marzo

0.04

0.12

0.06

0.03

0.56

0.95

1.76

0.02

0.56

0.22

0.80

"

Abril

0.04

0.13

0.05

0.03

0.75

1.26

2.26

0.02

0.39

0.18

0.59

"

Mayo

0.04

0.14

0.04

0.03

0.79

1.33

2.37

0.01

0.39

0.17

0.57

"

Junio

0.04

0.14

0.06

0.03

0.76

1.28

2.31

0.02

0.43

0.20

0.65

"

Julio

0.04

0.14

0.05

0.04

0.70

1.19

2.16

0.02

0.44

0.22

0.68

Fábrica 2

2° Q Abril

0.04

0.17

0.05

0.04

0.89

1.41

2.60

0.01

0.37

0.15

0.53

"

1° Q Mayo

0.04

0.21

0.05

0.04

0.89

1.43

2.66

0.01

0.36

0.13

0.50

"

1° Q Junio

0.04

0.18

0.06

0.04

0.91

1.46

2.69

0.02

0.41

0.16

0.59

"

1° Q Julio

0.04

0.14

0.06

0.03

0.81

1.34

2.42

0.02

0.46

0.22

0.70

"

1° Q Agosto

0.04

0.15

0.07

0.04

0.75

1.26

2.31

0.03

0.55

0.25

0.83

Fábrica 3

Junio

0.04

0.11

0.07

0.03

0.76

1.28

2.29

0.02

0.45

0.21

0.68

"

Julio

0.04

0.13

0.06

0.04

0.71

1.21

2.19

0.02

0.41

0.22

0.65

"

Agosto

0.04

0.12

0.06

0.03

0.67

1.15

2.07

0.02

0.45

0.25

0.72

Fábrica 4

Febrero

0.04

0.14

0.07

0.03

0.77

1.28

2.33

0.02

0.53

0.25

0.80

"

Marzo

0.04

0.13

0.08

0.03

0.67

1.11

2.06

0.03

0.57

0.28

0.88

"

Abril

0.04

0.14

0.06

0.04

0.83

1.39

2.50

0.02

0.45

0.21

0.68

"

Mayo (I)

0.04

0.15

0.05

0.03

0.89

1.46

2.62

0.01

0.39

0.17

0.57

"

Mayo (II)

0.03

0.15

0.06

0.03

0.83

1.38

2.48

0.02

0.42

0.20

0.64

"

Junio

0.04

0.14

0.06

0.04

0.78

1.31

2.37

0.02

0.46

0.23

0.71

"

Julio

0.03

0.14

0.06

0.04

0.75

1.28

2.30

0.02

0.45

0.24

0.71

"

Agosto

0.04

0.14

0.07

0.04

0.75

1.27

2.31

0.02

0.48

0.29

0.79

Fábrica 5

Agosto

0.04

0.13

0.06

0.03

0.85

1.40

2.51

0.02

0.50

0.22

0.74




c-biblio012-11-a (131K)


c-biblio012-11-b (133K)


c-biblio012-11-c (141K)


c-biblio012-11-d (103K)




   
Google