TRABAJOS CIENTIFICOS
Plantas medicinales, aromáticas y tintóreas.

Operación rescatemos la memoria.

   

 PRINCIPAL  
EXOTICAS
AUTOCTONAS
POSCOSECHA
 ORGANICO 
B.P.A. y B.P.M.
 HERBOCIENCIA 
 DOÑA DOLORES 


COMUNICACIONES
BIBLIOTECA
PUBLICACIONES
LEGISLACION


Anales de SAIPA - Sociedad Argentina para la Investigación de Productos Aromáticos
VII REUNIÓN TÉCNICA NACIONAL - CASTELAR (Buenos Aires) - 1987
Volumen IX y X - 1992 - pág 79 a 89.

CONDICIONES CLIMÁTICAS PARA LA LOCALIZACION DEL ÁREA DE INTRODUCCIÓN DE JOJOBA (Simmondsia chinensis Link) EN LA REPÚBLICA ARGENTINA
Alberto J. Rodríguez Saénz *

* Técnico del Centro de Investigaciones de Recursos Naturales. INTA, Castelarf Provincia de Buenos Aires.

RESUMEN

El presente trabajo tiene por objeto el estudio comparativo de los parámetros climáticos de la región de origen de la Jojoba (Simmondsia chinensis Link) y los de la posible área de introducción en nuestro país.

Para ello con los valores meteorológicos de Hermosillo en el desierto de Sonora de México, donde la planta prospera naturalmente; se determinaron: evapotranspiración potencial, precipitación y deficiencia h id rica; que se considera* son los elementos climáticos que en mayor medida inciden en la implantación y posterior desarrollo de la especie.

Se describe la especie y la región de origen para determinar el hábitat natural de la planta. Se detallan su importancia desde el punto de vista industrial, alimenticio y sus múltiples aplicaciones en medicina y otros usos que trae aparejado el cultivo.

En nuestro país se seleccionó una zona muy amplia en la región noroeste, tomando varias localidades de distintas provincias en la referida zona. La comparación de los elementos climáticos de la región de origen y los de su posible área de introducción en nuestro país, permite suponer que en la región de Catamarca y La Rioja se encontrarían las mejores condiciones climáticas para que la planta pueda prosperar, desarrollarse y producir en similar situación a las que obtiene en su zona de origen.

SUMMARY

The main purpose of this work is to compare the weather parameters of the source region of the Jojoba (Simmondsia chinensis Link) and the possible areas in our country in which this product may be introduced.

Taking into account the meteorological conditions in Hermosillo, in the desert of Sonora - México - where the plant grows perfectly well, we determined that the basic climatic elements which chiefly influence the implantation and later development of this type of plant are the following: potential evapotranspiration, rain and hydric deficiency.

This sort of plant and its source region are described in order to determine its natural habitat. The importance is described from different points of view: industrial, feeding and huge applications in medicine and other uses related to the farming.

In our country an extensive area of the northwest region was choose, considering various locations of the different provinces in the above mentioned region. By comparing the climatic conditions of the source region and the possible introduction area in our country, we suppose that in Catamarca and La Rioja we would find the best climatic conditions in order to develop and produce the plant under a similar situation of the obtained in the source area.

INTRODUCCIÓN

Los elementos climáticos figuran entre los principales que intervienen en la distribución geográfica de una determinada especie y en el grado de abundancia de la misma, es necesario su conocimiento previo para poder establecer las mejores condiciones de adaptación en su nueva área de implantación.

Muchas veces hay especies, variedades o procedencias que no prosperan al ser introducidas en nuestro país, debido a que no son ensayadas en los lugares más adecuados para realizar su adaptación. Generalmente los elementos climáticos no se tienen en consideración suficiente como para determinar la influencia que ejercen en el desarrollo y crecimiento de una especie. No existe verdadera "conciencia climatológica", no solamente en lo referente a la introducción de una nueva especie, sino que tampoco se evalúan convenientemente estos elementos y como consecuencia no se determina su influencia en un ensayo o investigación. Se tienen en consideración otros factores y se deja para último momento el clima, apelando a él cuando se han agotado todas las posibilidades con los demás elementos y se observa que únicamente la acción del clima es capaz de explicar el comportamiento del ser vivo estudiado; o directamente no se lo considera, o si se lo hace es más bien con carácter informativo, en lugar de aplicar y explicar su acción y relación con los vegetales y animales en estudio.

La localización de áreas con analogías climáticas constituye una guía para establecer transferencias de recursos biológicos y por lo tanto para orientar la introducción de vegetales y animales.

En los últimos años se ha incrementado el interés por el cultivo de la Jojoba (Simmondsia chinensis Link) en muchos países, debido a la multiplicidad de sus usos y como consecuencia del desarrollo de la misma en zonas áridas y semiáridas con escasez de precipitaciones, lo cual permite el aprovechamiento de las zonas marginales.

Junípero Sierra, explorador y misionero español, encabezó una exploración que llegó en el año 1769 al norte de la Baja California y descubrió la Jojoba, cuya importancia recién se apreciaría dos siglos después. Observaron que los nativos cocinaban sus alimentos en un aceite que obtenían de las semillas de un arbusto que llamaban "jo-wi". Los españoles escribieron el nombre como "jojoba"). Recién en el año 1935 fueron reconocidas las propiedades de este arbusto, pero pronto fueron olvidadas. En el año 1976 la planta fue "redescubierta" y dio comienzo una intensa investigación acerca de este vegetal.

Mucho se ha dicho en los últimos años acerca de la jojoba, no solo por el aceite lubricante que de ella puede obtenerse, sino por sus propiedades alimenticias, medicinales e industriales. Sin embargo los nativos que vivieron en la zona donde crece la jojoba, ya la utilizaban desde centenares de años como alimento y medicina; para curar quemaduras y otras dolencias de la piel, aplicando sobre la parte afectada un emplasto hecho con semillas tostadas y molidas. La infusión de las semillas hervidas se usaba contra los desórdenes intestinales y para calmar el dolor del parto de las mujeres; bebían dicha infusión y se friccionaban con las semillas oleaginosas. Como alimento, los nativos comían semillas tostadas o fritas con sal y hacían otras preparaciones con las hojas.

El nombre científico de la Jojoba: Simmondsia chinensis, es consecuencia de un error geográfico. El naturalista inglés H. F. Link recolectó plantas de Jojoba cuando llegó a la Baja California en el año 1822; después se trasladó a China de donde regresó a Inglaterra. En el viaje los especímenes de Jojoba se mezclaron con arbustos de origen chino y de allí su denominación "chinensis". En la actualidad se persiste en el mismo error.

La importancia de planta no fue advertida en un principio, solamente los nativos la usaban tostando las semillas para hacer una infusión usada como "café" y también utilizaban el aceite para ponérselo en el cabello. Las tribus indias han acostumbrado a recoger las semillas de las plantas silvestres de Jojoba y ya se ha producido aceite en cantidades suficientes para que los fabricantes lo prueben en productos industriales y de consumo. Los resultados han sido tan impresionantes que más de una compañía ha ofrecido comprar cuanta semilla puedan recoger los indios en el futuro. Hace apenas diez años la planta era desconocida. En cambio ahora se han dedicado ya varias conferencias internacionales para tratar exclusivamente el tema de la Jojoba.

Mientras en los EEUU y México se han hecho la mayor parte de los trabajos respecto a la Jojoba, ésta ha despertado interés en todo el mundo. En Israel se ha comenzado también la producción comercial de Jojoba, en tanto que en Japón, Australia, el Sudán y la provincia de Gujerat de la India, han comenzado también programas de investigación. El Ministerio de Comercio e Industria de Kenia está tratando de atraer cultivadores de Jojoba procedentes del extranjero.

En distintas oportunidades, técnicos y productores de la República Argentina que han recorrido en América del Norte, zonas donde las reducidas precipitaciones hacen muy dificultoso el cultivo de especies vegetales, se han sorprendido por las posibilidades que ofrece la difusión de un arbusto oleaginoso de crecimiento espontáneo; la Jojoba natural de las regiones desérticas del N.O. de México y S.O. de EEUU, donde hasta-hace poco la utilizaban los animales como especie forrajera, alimentándose principalmente de sus ramas y brotes. Entre las informaciones recogidas cabe citar las producidas por el Ing. Agr. Alberto Piquín de la EERA de Salta (Cerrillos) quien en el año 1976, en el Vil Simposio Nacional de Oleaginosas y IV Latinoamericano, presentó un trabajo sobre la Jojoba.

Actualmente son siete países interesados en la investigación y cultivo de la jojoba: EEUU, México, Israel, Inglaterra, Australia, Japón y Holanda, que disponen varios investigadores abocados al tema. Los israelíes lo cultivan en los desiertos de Negev y del Mar Muerto. En EEUU lo hacen en California, Arizona y Texas. En México se cultiva en la Baja California, en el desierto de Sonora y en menor escala existen cultivos experimentales en la india, Sudán, Sudáfrica y Australia. Sin embargo la única cosecha que abastece actualmente el mercado de semilla es la recolectada en las reservas indígenas de Arizona, que en el año 1978 alcanzó a unas tres toneladas.

Comercialmente se la está cultivando en EEUU, México e Israel. Fuera de estas tres áreas, no existen cultivos extensivos en importancia en el resto del mundo. Sin embargo, dada la alta rentabilidad que ofrece esta planta, ya se están haciendo plantaciones a nivel experimental en escala comercial en Costa Rica, Brasil, Chile, Argentina, Paraguay, Sudáfrica, India y Australia. Estas plantaciones ya prueban que esta planta crece fuera de su hábitat natural. En Villa Dolores, provincia de Córdoba, se encuentra la primera plantación comercial de jojoba en el país. Hay plantadas más de 50 hectáreas de jojoba, parte de las cuales ya tienen 8 años. Es de destacar que al cabo de solo dos años a partir de la siembra se ha logrado producir semillas, siendo ésta la primera semilla de jojoba que se produce en el país. En La Rioja hay dos proyectos distintos de plantaciones a ser realizados durante el año 19S2. Una de 45 hectáreas en el Departamento de Aimogasta y otro de 30 hectáreas en el Departamento Capital. En ambos proyectos se contempla la utilización de equipos de riego por goteo. Se introdujeron semillas en las provincias de Salta (1976), Córdoba, (1977), Mendoza (1978), La Rioja (1978) y Tucumán (1981).

Descripción de la Especie

Planta oleaginosa conocida científicamente como Simmondsia chinensis Link Scheneider, arbusto con flores masculinas y femeninas en plantas separadas. La masculina desarrolla racimos de pequeñas flores amarillas, mientras que la femenina produce una fruta verdosa del tamaño de una aceituna que se seca a medida que madura, transformándose en una nuez o semilla que cae naturalmente al suelo. Es diclina dioica, es decir flores masculinas y femeninas en distinto pié, pudiendo encontrarse flores hermafroditas en el pié masculino que dan fruto con semilla no viable. Las flores masculinas son pequeñas y amarillas presentándose en racimos redondeados. Las flores femeninas miden aproximadamente de 13 a 20 mm y son individuales. El ovario de 3 celdas, tiene de uno a dos óvulos en cada una de ellas, los cinco sépalos varían de ovalados a lanceolados y son suaves y pubescentes. La polinización es anemófila, necesitándose generalmente una relación de 4-5 plantas femeninas por cada planta masculina.

Es un arbusto frondoso que raramente sobrepasa los tres metros de altura; sus hojas son de textura gruesa, color gris verdoso, de forma oval y de 2,5 cm de largo. Está siempre verde y su fruto es una semilla del tamaño de una oliva que contiene una cera líquida comúnmente llamado aceite. No se distingue el macho de la hembra hasta el segundo año, por esta razón se hace una plantación densa y luego se ralea el 90% de los machos.

Comienza a producir comercialmente a partir del cuarto año y continúa produciendo en forma creciente hasta alcanzar su óptimo a partir de los 13 años. Las plantas viven entre 100 y 200 años. La cosecha se realiza una vez al año en el verano. Posee una tremenda tolerancia a los cambios de temperaturas y una especial resistencia a la sal. Requiere temperaturas elevadas para la germinación de la semilla y una estación seca de por lo menos tres meses. Esta planta es particularmente sensible a cuando obtiene agua y a como la obtiene. Necesita alrededor de 300 mm anuales, cantidad de agua que necesita concentrada en seis meses; los restantes meses requiere muy poca humedad y altas temperaturas. Es por esta razón que debe hacerse su cultivo sólo en las zonas secas y el tipo de riego que se use debe poder controlarse y regularse perfectamente ya que esta planta es sumamente sensible al exceso de humedad en el suelo.

Las raíces son profundas y muy ramificadas, con objeto de explorar mucho terreno y tomar la escasa humedad de las tierras de las regiones donde se encuentra en estado silvestre. Es un arbusto muy ramificado con alturas que pueden variar desde 0,60 a 3 m de altura. Sus hábitos de crecimiento van desde formas achaparradas, casi rastreras hasta erectas, las cuales pueden o no tener ramificaciones desde la base. Es dado observar considerables variaciones en cuanto a tamaño, forma, color, grosor y pubescencia de las hojas, aunque se puede generalizar diciendo que son opuestas, gruesas, oblongas y de color azul verdoso. Sus frutos son de color café oscuro, parecidos a una nuez de unos 2 mm de largo, conteniendo una sola semilla por cápsula. Posee un sistema radicular sumamente desarrollado que le permite alcanzar profundidades de hasta 15 metros con relativa facilidad.

Usos de la Especie

La semilla produce un líquido tan claro como el agua y sin el menor parecido químico con el aceite de la semilla de ninguna planta; tanto es así que los químicos no llaman a este líquido aceite, sino cera líquida. El aceite de jojoba, una de las sustancias naturales más puras que se conocen, puede transformarse en una asombrosa diversidad de productos: aceites para motor que sólo tiene que ser cambiado cada 32.000 km, ricas cremas que suavizan y estabilizan cosméticos de alto precio y ceras duras de gran brillo. Además los químicos han encontrado como hidrolizar, isomerizar, sulfurar y clorar el aceite para transformarlo en una gran variedad de ingredientes para fármacos, plásticos, textiles y adhesivos.

La industria de los cosméticos será probablemente el mayor usuario durante algún tiempo, en la producción de champúes, cremas hidratantes, lápices de labios y lociones para bañistas. En el futuro, el aceite de jojoba podría encontrar sus aplicaciones más importantes en la lubricación de máquinas de altas velocidades, especialmente los motores y transmisiones de automóviles y camiones, tanques, buques y aeronaves. La estructura molecular del aceite de jojoba permite a éste tolerar temperaturas y presiones extremas y su fricción es tan baja que los aparatos de prueba normales no pueden medirla. En medicina, el aceite se está empleando como agente antiespumante en la producción de penicilina.

El aceite no se rancia y lo que es más importante no es asimilable por el cuerpo humano, por esta razón, se ha sugerido su empleo en la alimentación como preparación de ensaladas y como aceite para cocinar para personas que necesitan una dieta baja en calorías. Ei bagazo de la semilla contiene el 30% de proteínas que muy bien pudiera emplearse en la alimentación del ganado.

Descripción de la Región de Origen

En general la distribución de la jojoba se encuentra en poblaciones con diferentes microclimas o condiciones ecológicas. En cada una de ellas, la planta presenta diferentes condiciones físicas, en cuanto a tamaño de la planta, color de follaje, tiempo de floración, tiempo de fructificación y tamaño de frutos. La clasificación fitogeográfica en Baja California guarda una relación estrecha con el clima.

Independientemente del suelo, orientación, pendiente y otros factores, la mayoría de las plantas que crecen en el desierto son controladas principalmente por el clima; y de los componentes del mismo, incluyendo precipitación, temperatura, humedad relativa, velocidad y dirección del viento y su dirección; es la precipitación generalmente el elemento más crítico. La característica sobresaliente de la Baja California es su aridez.

De esencial importancia también es su variabilidad no solamente de una región a otra, sino de estación a estación y de año a año. Se puede decir que el rasgo principal en la península es su inconstancia. Esto tiene como resultado un número de variables recíprocas en la vegetación, incluyendo el amplio rango latitudinal, diferencias extremas en elevación, la localización entre la relativa baja profundidad de las aguas tibias del Golfo de California y las profundas y frías aguas del Océano Pacífico y el hecho de que las porciones del norte y el oeste reciban la mayoría de la precipitación en diciembre, mientras que al sur y este las precipitaciones máximas son de verano.

En la costa del Océano Pacífico, relativamente fría; en su mitad del norte cubierta en el verano por nieblas o nubes bajas durante gran parte de la mañana. La combinación del aislamiento durante el período más cálido del año con alta humedad relativa y bajas temperaturas acompañadas por vientos constantes, causan un marcado efecto en el clima y por consecuencia en la vida animal y vegetal. Las plantas de esta región son generalmente de poco desarrollo y al irse acercando a la costa se van empequeñeciendo hasta perder su aspecto normal. La precipitación que recibe la región es muy escasa. En el extremo noroeste y sudoeste de esta zona las precipitaciones son algo mayores que en el resto de área.

En esta área la maduración del fruto de jojoba se produce durante el otoño, con frutos de mayor tamaño, plantas que presentan una altura que en su mayoría no sobrepasa los 50 cm, aumentando de tamaño conforme aumenta la altura sobre el nivel del mar. Las poblaciones más productivas se localizan en las laderas de los arroyos o cañadas que desembocan en la costa del Pacífico.

En la costa del Golfo de California, la precipitación varía enormemente de lugar en lugar. El área más árida de la península se encuentra en la esquina noroeste de la desembocadura del Río Colorado. La precipitación aumenta hacia el sur. Aunque ambas costas reciben igual precipitación total, el clima es muy distinto debido a las diferencias de temperatura y niveles de humedad relativa.

Las plantas en esta zona alcanzan alturas que varían de 1,50 a 2 metros, encontrándose distribuidas en poblaciones menos densas. Las Principales limitantes para el desarrollo de las plantas son la baja precipitación y la falta de humedad ambiental. Pese a que las plantas son mayores que las de la costa del Pacífico, éstas no fructifican a menos que reciban suficientes lluvias en invierno. A causa de las altas temperaturas de verano la maduración del fruto se presenta más temprano que en otras zonas.

El interior de la Baja California recibe considerablemente mayor precipitación que en las otras dos regiones. Tienen un régimen de lluvias invierno-verano. La época de lluvias de verano es aproximadamente la mitad de las de invierno y la humedad aprovechable durante el período en que la evaporación es relativamente alta.

En esta región existen microclimas muy diferentes debido a las distintas alturas sobre el nivel del mar, por lo cual la planta presenta diferentes características morfológicas, así como una densidad de plantas muy irregular. Se observa distintas alturas de planta comparada en las poblaciones costeras, encontrándose plantas cuya altura varía de 1 a 3 metros de altura. Pese a que el tamaño de la planta es mayor que en las zonas costeras, la producción de semilla por hectárea es menor debido a la menor densidad de plantas, así como a las bajas temperaturas de invierno que afectan el crecimiento de los brotes nuevos. La Baja California con su gran extensión desértica, origen de la jojoba, presta condiciones privilegiadas para su desarrollo.

Posibles Áreas de Introducción en Argentina

Para ubicar la zona de nuestro país que reúna las condiciones climáticas óptimas para la implantación de la jojoba, similares a las de su región de origen en el desierto de Sonora en México; se trabajó con los valores climáticos obtenidos de la localidad de Hermosillo. Se seleccionaron varias localidades de distintas provincias del noroeste de nuestro país para abarcar una amplia zona dentro de la cual se supone que la especie a introducir encontrará similares condiciones climáticas a las que encuentra en su región de origen.

En el total de las 26 localidades elegidas, los balances hídricos establecieron los valores de evapotranspiración potencial, precipitación y deficiencia hídrica de cada una de ellas, que permiten ordenarlas de acuerdo a su mayor o menor diferenciación los mismos valores registrados en Hermosillo, región donde la jojoba se desarrolla naturalmente y que sirven como término de comparación.

De cada provincia se eligieron las siguientes localidades: Catamarca: Tinogasta, Belén, Andalgalá, Esquiú, Chumbicha y Capital; La Rioja: Chilecito, Patquía, Chepes, Olta, Chamical y Capital; San Luis: Quines, Mercedes, Tilisarao y Capital; Córdoba: Villa Dolores, Quilino, San Francisco del Chañar y Dean Funes; San Juan: Valle Fértil, y Jáchal; Santiago del Estero: Villa Ojo de Agua, Choya y Capital; Tucumán: La Cocha.

Con los valores de precipitación, evapotranspiración potencial y deficiencia hídrica se establecen cuadros en los cuales las localidades se encuentran ordenadas de acuerdo a la aproximación que observan con los valores registrados en la región de origen.

Se eligen estos tres elementos climáticos, los dos últimos obtenidos de los balances hídricos calculados, correspondientes a cada localidad; ya que se considera que son estos factores los que en mayor medida inciden en la implantación y posterior desarrollo de la especie a introducir.

La evapotranspiración potencial de todas las localidades de nuestro país es inferior a la observada en la región donde la especie se desarrolla naturalmente, y dentro de ellas, las que mejor se adecúan a esa evapotranspiración son Santiago del Estero y las zonas de Catamarca y La Rioja. Las regiones que menos reúnen las condiciones necesarias de evapotranspiración para el desarrollo adecuado de la especie son las zonas de San Juan y San Luis.

En cambio la precipitación se comporta irregularmente con relación a la registrada en Hermosillo, ya que unas veces es inferior al mismo y otras superior; pero de todas maneras la zona que observa mejor los requerimientos necesarios para el desarrollo de la especie es la de Catamarca y La Rioja. En las regiones de Tucumán y Santiago del Estero son donde los requerimientos pluviométricos son los menos adecuados. Como consecuencia de ello la deficiencia hídrica registrada, también resulta inferior en todas las localidades de nuestro país a las de la región de origen, siendo la zona de La Rioja y Catamarca las que mejor cumplen las necesidades establecidas en su zona original. Estas deficiencias hídricas en las zonas de Tucuman y San Luis son las que menos reúnen las condiciones necesarias para los requerimientos de la especie a introducir.

Considerando el comportamiento de las condiciones climáticas ordenado por estaciones, se observa que en las cuatro estaciones las localidades de La Rioja y Catamarca presentan las mejores condiciones para el desarrollo del cultivo. Durante el otoño e invierno, a las localidades antes mencionadas se le agregan algunas de Santiago del Estero y Córdoba.

En cambio las localidades en las cuales las condiciones climáticas son menos adecuadas corresponden a San Juan y San Luis y durante el otoño y primavera se le agregan localidades de Córdoba.

Analizando en conjunto la influencia de los tres elementos climáticos estudiados: evapo-transpiración, precipitación y deficiencia hídrica, en el crecimiento y posterior desarrollo de la especie a introducir; a lo largo de todo el año y de las cuatro estaciones, se observa que la región de Catamarca y La Rioja es donde se encuentran las mejores condiciones, desde el punto de vista climático; seguidas en orden decreciente por zonas de las provincias de Santiago del Estero, Córdoba, San Luis, San Juan y Tucumán.

La especie a introducir encontrará condiciones climáticas algo diferentes a las que encuentra en su región de origen, ya que la evapotranspiración potencial y la deficiencia hídrica serán bastante menores, mientras que la precipitación que también será inferior, aunque en menor medida.

Sería interesante poder constatar si estas distintas condiciones climáticas influyen y en qué medida, no solamente en el desarrollo de la especie, sino también en la producción y calidad del aceite.



CUADRO I
Ordenamiento de las localidades de acuerdo a sus aptitudes climáticas para el cultivo de Jojoba en sentido decreciente.

Nota: El ordenamiento se realizó de acuerdo a la menor diferencia de los valores anuales de Evapotranspiración potencial, Precpitación y Deficiencia hídrica
con los observados en la región de origen tomados en su totalidad, para determinar su aptitud agrícola.

Orden de aptitud

EP

Pp

DH

Hermosillo

1332

390

942

1. Catamarca

1061

372

689

2. La Rioja

1056

322

734

3. Chamical

1037

411

626

4. Chepes

990

335

655

5. Esquiú

1024

441

583

6. Patquía

980

331

649

7. Santiago del Estero

1063

508

555

8.Chumbicha

977

303

674

9. Quilino

1018

474

544

10. Valle Fértil

907

320

587

11. Andalgalá

900

305

595

12. Olta

1017

542

475

13. Tinogasta

910

149

761

14. Choya

1041

592

421

15. Belén

893

280

613

16. Chilecito

871

192

679

17. Villa Dolores

912

543

364

18. Quines

882

492

390

19. Villa Ojo de Agua

1038

740

298

20. Jáchal

845

118

727

21. San Francisco del Chañar

942

606

336

22. San Luis

859

559

300

23. Mercedes

847

544

309

24. La Cocha

983

743

240

25. Dean Funes

885

603

282

26. El Tilisarao

857

598

259




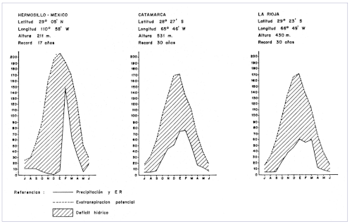
Fig. 1: Representación gráfica de los balances hídricos de Hermosillo (México), zona de origen de la especie y de Catamarca y La Rioja, Argentina, región de posible introducción de la Jojoba.

c-biblio-010-12-a (89K)


BIBLIOGRAFÍA

  1. AGRIBUSINESS WORLDWIDE. 1980. - Agricultural promise for semi-arid regions.
  2. AYERZA, R. 1982.s-Importancia de la jojoba. El campo en marcha. Año XIX N°132 36-40.
  3. AYERZA, R. 1984. - La jojoba. 1a. Ed. Hemisferio Sur. 224 p.
  4. BRAUN, R. 1981. -Algunos datos sobre la jojoba. IADIZA.
  5. DE LA VEGA, M. 1977. - La jojoba: domesticación de un cultivo potencial. Hermosillo. Sonora. 18 p.
  6. GROPPA, M. 1982. -Jojoba: la semilla mágica. Anales N°4 18-21.
  7. IADIZA. 1981. -Algunos datos y cálculos sobre la jojoba.
  8. INTA. 1985. - Boletín bibliográfico N° 109.
  9. INTERNATIONAL AGR1CULTURAL DEVELOPMENT. 1982. -The profitable hidge against desert creep? Col. 2 N°5.
  10. LA NACIÓN. 1984. - Formosa: posibilidades de la jojoba.
  11. LUCINI CASALES, T. 1982. -La jojoba: su posible cultivo en España. Revista de Ext. Agrair 7-10.
  12. MARULL, J. 1978. -Jojoba: una oleaginosa para regiones áridas y semiáridas. Andes N°9-10.
  13. MILANO, V. A. y RODRÍGUEZ SAENZ, A.J. 1971. -Analogías climáticas e importancia de los grados de abundancia para la introducción de especies forrajeras. IDIAN°280 29-39.
  14. MILANO, V.A. y RODRÍGUEZ SAENZ, A.J. 1976. - Localización del área de introducción de la forrajera Canchrus ciliaris Link en la Argentina. I DI A N°343/346 3-16.
  15. MIROV, N.T. 1952. -Simmondsia or Jojoba. A problem in economic botany. Economic Botany 41 -47. Lancaster.
  16. NUOLL VUE, N. 1981. - ¿Qué es la jojoba? Buenos Aires 27 p.
  17. POSADAS, M.S. de-La jojoba. El jardín y sus plantas v 39 (211-212) 40-42.
  18. RODRÍGUEZ SAENZ, A. J. y MILANO, V.A. 1978. - Importancia de las analogías térmico-hídricas en la introducción de plantas. 1DIA N°361/366 155-158.
  19. RODRÍGUEZ SAENZ, A.J. y MILANO, V.A. 1980. -Posibilidades climáticas para el cultivo de Eucalyptus botryoides Sm en la República Argentina. IDIA N°387/388 7-12.
  20. RUDOLF, C. 1983. - Ensayos de técnicos en viveros para la producción de plantas de jojoba (Simmondsia chinensis Link). IDESIA 7 J53-58.
  21. SÁNCHEZ, E. 1980. - Un aceite vegetal reemplazaría al que proporcionan las ballenas. La Prensa.
  22. SCOCIN, R. et BROWN, S. 1979. -Leaf flavencis of Simmondsia chinensis. Aliso 9 (3) 475-477.
  23. S.M.N. 1960. - Atlas climático de la República Argentina. 81 p.
  24. S.M.N. 1958. - Estadísticas climatológicas 1941-1950.
  25. S. M. N. 1963. - Estadísticas climatológicas 1951 -1960.
  26. S. M. N. 1981.- Estadísticas climatológicas 1961-1970.
  27. S. M. N. 1986. - Estadísticas climatológicas 1971 -1980.
  28. THORNTHWAiTE, C.W. y MATHER, J. R. 1957. - Instrucciones y tablas para el cómputo de la evapotranspiración potencial y el balance hídrico. Traducción para el INTA A.J. Rodríguez Sáenz y C. A. Juárez 68 p.
  29. VAN TIECHEM, PH. 1897. -Sur les Buxáceas I Sur le gense Simmondsia consideré comme type d'une famil le distincti: Les Simmondicacies. Ann. Su. Nat VIII Bot. 5 290-301 París.
  30. VIETMEYER, N. 1980.-Jojoba: Agricultural promisefor semi-arid regions.26-37.

   
Google