![]() |
|
||
Anales de SAIPA - Sociedad Argentina para la Investigación de Productos Aromáticos
III CONGRESO NACIONAL DE RECURSOS NATURALES AROMÁTICOS Y MEDICINALES
Volumen VIII - 1983 - pág 136 a 147.POSIBILIDADES CLIMÁTICAS PARA EL CULTIVO DEL LAVANDIN (Lavandula hybrida Ftev.) EN LA PROVINCIA DE CATAMARCA * Ingenieros Agrónomos, Técnicos de la Unidad Plantas Aromáticas del INTA de Castelar (Bs, As.).
MIGUEL A. ELECHOSA, MÓNICA S. RUBIO y HÉCTOR W. LAFOURCADE.*
INTRODUCCIÓN
El lavandín, híbrido natural de la lavanda (Lavandula officinalis Chaix.) y el espliego (L. spica, L. latifolia), es nativo de las planicies intermontanas y los faldeos de las montañas de Europa meridional mediterránea, principalmente los Alpes Marítimos y Alpes de Provenza, en la franja de alturas intermedias entre las que vegetan sus progenitores (200 - 800 m fig. N° 1). (2, 4).
Cosechado al principio de las poblaciones silvestres, fue domesticado posteriormente, llevado al cultivo, y durante la década del '60, la superficie dedicada al mismo superó en importancia a la de lavanda en su país de origen, a favor de mayores beneficios por hectárea, por la obtención de rendimientos de aceite esencial que normalmente triplican los de la lavanda (2, 11).
En nuestro país se han realizado experiencias en numerosos lugares, con resultados variables.
En la provincia de Catamarca (fig. N° 2) se conocen sólo los ensayos de Virsoo (1970) en Sumalao y Camisa (1980) en Santa María, cuyos resultados parciales son alentadores (3, 12).
En este trabajo se postula que la provincia, que cuenta con gran número de situaciones microclimáticas en razón de su topografía, reúne condiciones adecuadas para el cultivo en otras localidades.
MATERIALES Y MÉTODOS
Para evaluar la posibilidad de cultivo en otras áreas de la provincia, se realizó un análisis comparativo entre diversas localidades catamarqueñas con las destinadas al cultivo de lavandín en Río Negro, San Luís y las tradicionales de la Provenza francesa.
Los valores de EP, P y ER, correspondientes a localidades francesas fueron extraídos de la bibliografía al respecto (4); los de nuestro país en su mayor parte calculados con un programa de Balance Hidrológico Computado en la Unidad Agrometeorología del INTA Castelar, en base a las Estadísticas Meteorológicas (9) y Registros de Entes Provinciales (10) y para las localidades sin registro termo y/o pluviométricos, se usaron la interpolación entre datos del Atlas Climático (8), la triangulación entre registros de localidades cercanas (8, 9) y los gradientes verticales medianos establecidos por De Fina (6).
Con estos valores se construyeron para la comparación los gráficos de balance hidrológico, que caracterizan las relaciones entre los ciclos térmico e hídrico de las estaciones en cuestión.
En este punto se hacen necesarias ciertas definiciones:
Denominamos ciclo térmico a la marcha anual de la evapotranspiración potencial (EP) por cuanto su valor está determinado por la cantidad de radiación que el lugar recibe, y cuya manifestación inmediata es la temperatura del aire.
Ciclo hídrico a las curvas de Evapotranspiración Real (ER) y precipitación(P), siendo la primera función de la segunda para un valor de EP dado, e iguales ambas en tipos climáticos áridos.
Debido a que el cultivo cumple su ciclo productivo en los meses de primavera y verano adquieren importancia las características de este período, que llamaremos "de mayor demanda climática de agua".
Como complemento de los balances hidrológicos se confeccionaron y estudiaron los diagramas de marcha anual del fotoperiodo (Heliofanía Teórica Astronómica + crepúsculos) de las localidades más representativas.
RESULTADOS Y DISCUSIÓN
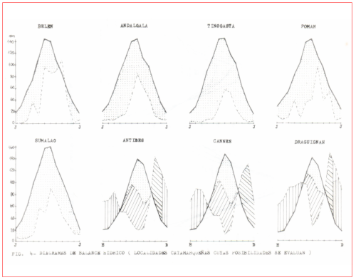
Del examen de los diagramas (Figs. N° 3 y 4) se desprende la existencia de dos ciclos hídricos completamente diferentes:
- En el Hemisferio Norte hay una distribución bimodal de las precipitaciones, con excesos marcados en otoño y primavera, e inviernos que actúan como períodos de acumulación; veranos secos, con fuertes déficits.
- En las condiciones del área estudiada en nuestro país, la distribución de las precipitaciones es modal, con máximo estival, y déficit permanente, presentando consumos moderados de agua en el período invernal, y primaveras relativamente más secas que los veranos.
Los ciclos térmicos son sustancialmente iguales; se presenta una mayor simetría en el Hemisferio Norte, y se observa un adelantamiento del período de mayor demanda climática de agua en el Hemisferio Sur, por inviernos más cortos y más benignos.
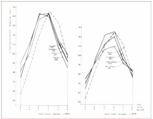
Si tomamos en cuenta el período de mayor demanda climática de agua (Fig. N° 5), observamos relaciones similares y valores absolutos muy próximos, en especial en aquellas localidades que por latitud o elevación pueden considerarse más "frías" (T° media del período inferior a 20° C).
En las localidades más cálidas (T° media del período mayor que 22° C) las diferencias mayores, como ya se ha dicho, se ubican en la primavera, siendo el monto total de la EP muy similar.
En su región de origen, el lavandín silvestre debe soportar déficit de agua que van desde moderados (20 mm/mes) en primavera, a marcados (70 - 75 mm/mes) en pleno verano, sumando alrededor de 150 mm en el período; salta a la vista que los déficits en las áreas compa-radas son mucho mayores, pero esta deficiencia puede ser compensada mediante el riego.
Los gráficos de fotoperiodo (Fig. N° 6) muestran marcadas diferencias tanto estivales como invernales entre localidades.
Digne (Francia) tiene día más corto de 10 hs y más largo de 16 hs 40' y Santa María (Catamarca) día más corto de 11 hs 20' y más largo de 14 hs 40'. Esto puede explicar en parte la mayor EP invernal del Sur. Sin embargo, no parece tener influencia en la fase fenológica más importante (floración) del lavandín.
CONCLUSIONES
De lo expuesto se infiere:
- Las condiciones del invierno en las localidades catamarqueñas que entraron en la comparación, todas intermedias entre Sumalao y Santa María, no parecen limitantes para el cultivo;
- Hay una evidente plasticidad del lavandín ante el fotoperiodo, o más bien, no se presenta correlación entre éste y la expresión de las fases fenológicas;
- Las condiciones térmicas del verano son muy similares en estas localidades entre sí y con aquellas en las que se practica el cultivo en el país de origen y el nuestro;
- Las diferencias marcadas en la dotación hídrica, no son relevantes en la medida en que puedan ser superadas mediante el riego.
AGRADECIMIENTOS
A los técnicos de la Unidad Agrometeorología del INTA Castelar, Ingenieros Agrónomos Hilda Alerighi, H. Conti y Sr. J. Santamaría, por su inapreciable ayuda.
BIBLIOGRAFÍA
- BOJANICH MARCOVICH, E. Estudio hidrogeológico del Valle del Río Conlara. Inst. Nac. de Geol. y Min. Bol, N° 105. B.A.1964.
- BOULAY, H. Lavande et lavandín en Haute Provence. Rev. La Potasse, num. fevrier. Paris. 1968.
- CAMISA, N. y M.A. FLORES. Estudio sobre el comportamiento del lavandín "Grosso" en el valle de Santa María, Catamarca. -Memoria de las Jornadas de Especies Aromáticas y Medicinales en San Martín de los Andes -Neuquén - 1981. SAIPA, Bs. As. 1982.
- C.W. THORNTHWAITE ASS. LAB. of CLIMATOLOGY. Average Climatic water balance data of the continents. Vol. XVII Ne l, Part V. Europe. Centerton, N.J. 1964.
- --------- Vol. XVIII, Ne 2, - Part VIII. South America. Centerton. N.J, 1965.
- DE FINA, A.L. y otros. Datos agroclimáticos de la Rep. Argentina. IDIA, En-Jun. Bs. As. 1976.
- 7. INTA. Regionalización ecológica de la República Argentina: Memoria sintética y mapa a escala 1 : 5.000.000. Publ. N° 173. Castelar. 1982.
- SERVICIO METEOROLÓGICO NACIONAL. Atlas .Climático de la Reo. Argentina. Bs. As. 1960.
- --------- Estadís. Climat. 1941-50. 1958.
--------- Estadís. Climat. 1951-60
--------- Esta dís. Climat. 1961-70. 1980.- VILLAGRA, A. y otros. Registros meteorológicos de algunas localidades catamarqueñas. Inédito. Catamarca. 1983.
- VINOT, M. et A. BOUSCARY. Les lavandins - Parfums, Cosmetiques ,Aromes N" 28. Juillet-Aout. Paris. 1979.
- VIRS00, E,. Relato N° 13. Reunión Progr. Ptas, Aromáticas - CNIA Castelar. 1964.
FIGURAS Y DIAGRAMAS
Figura 1 - Area de cultivo de lavande en Francia
Figura 2 - Catamarca, regiones ecológicas
Figura 3 - Diagramas de balance hídrico (Localidades argentinas con cultivos establecidos)
Figura 4 - Diagramas de balance hídrico (Localidades Catamarqueñas cuyas posibilidades se evaluan)
Figura 5 - Período de mayor demanda de agua
Figura 6 - Marcha anual del fotoperíodo
|
|
|